UNS S66286在700℃以下具有优于奥氏体不锈钢的高温强度,属于沉淀析出硬化耐热不锈钢。与SUS 304相比Ni含量多,且添加有Ti、Al等硬化元素。因此,通过时效硬化处理,会有γ’相(fcc_Ni3(Al,Ti))析出,高温强度将得到显著提高。本公司可供钢板、钢条。
材料牌号・标准
| AMS 5525 | JIS G4312 | ISO |
|---|---|---|
| UNS S66286 | SUH 660 | ― |
化学成分
JIS G4312 / SUH 660
| C | Si | Mn | P | S | Ni | Cr | Mo | Al | Ti | B | V | Co | |
|---|---|---|---|---|---|---|---|---|---|---|---|---|---|
| 最小 | ― | ― | ― | ― | ― | 24.00 | 13.50 | 1.00 | ― | 1.90 | 0.001 | 0.10 | ― |
| 最大 | 0.08 | 1.00 | 2.00 | 0.040 | 0.030 | 27.00 | 16.00 | 1.50 | 0.35 | 2.35 | 0.010 | 0.50 | ― |
AMS 5525 / UNS S66286
| C | Si | Mn | P | S | Ni | Cr | Mo | Al | Ti | B | V | Co | |
|---|---|---|---|---|---|---|---|---|---|---|---|---|---|
| 最小 | ― | ― | ― | ― | ― | 24.00 | 13.50 | 1.00 | ― | 1.90 | 0.003 | 0.10 | ― |
| 最大 | 0.08 | 1.00 | 2.00 | 0.025 | 0.025 | 27.00 | 16.00 | 1.50 | 0.35 | 2.35 | 0.010 | 0.50 | 1.00 |
物理性能
| 比热(J/kg・K) | 460 | |
| 电阻率(μΩ・cm) | 91 | |
| 热传导率(W/m・K) | 150℃ | 15.0 |
| 平均热膨胀系数(10-6/℃) | 20–100℃ | 16.8 |
| 20–500℃ | 17.7 | |
| 20–650℃ | 17.4 | |
| 20–750℃ | 18.5 | |
| 20–950℃ | 19.4 | |
| 纵向弹性模量(MPa) | 20.1 x 104 | |
| 强磁性 | 无 | |
| 熔点(℃) | 1371-1427 | |
机械性能
固溶热处理
JIS G4312 / SUH 660
|
0.2%屈服强度 (N/mm2) |
抗拉强度 (N/mm2) |
延伸率 (%) |
硬度 (HRB) |
备注 |
|---|---|---|---|---|
| ― | ≦ 730 | ≧ 25 | ≦ 91 |
AMS 5525 / UNS S66286
|
0.2%屈服强度 (N/mm2) |
抗拉强度 (N/mm2) |
延伸率 (%) |
硬度 (HRB) |
备注 |
|---|---|---|---|---|
| ― | ≦ 724 | ≧ 25 | ≦ 90 | 板厚1mm以上 |
示例
|
0.2%屈服强度 (N/mm2) |
抗拉强度 (N/mm2) |
延伸率 (%) |
硬度 (HRB) |
备注 | |
|---|---|---|---|---|---|
| 冷轧板 | 344 | 665 | 40 | 86 | 0.2%屈服应力为参考值 |
固熔热处理后时效处理材料
JIS G4312 / SUH 660
|
0.2%屈服强度 (N/mm2) |
抗拉强度 (N/mm2) |
延伸率 (%) |
硬度 (HRC) |
备注 |
|---|---|---|---|---|
| ≧ 590 | ≧ 900 | ≧ 15 | ≧ 24 |
AMS 5525 / UNS S66286
|
0.2%屈服强度 (N/mm2) |
抗拉强度 (N/mm2) |
延伸率 (%) |
硬度 (HRC) |
备注 |
|---|---|---|---|---|
| ≧ 655 | ≧ 965 | ≧ 15 | 24-35 | 板厚1mm以上 |
示例
|
0.2%屈服强度 (N/mm2) |
抗拉强度 (N/mm2) |
延伸率 (%) |
硬度 (HRC) |
备注 | |
|---|---|---|---|---|---|
| 冷轧板 | 774 | 1099 | 25 | 32 | - |
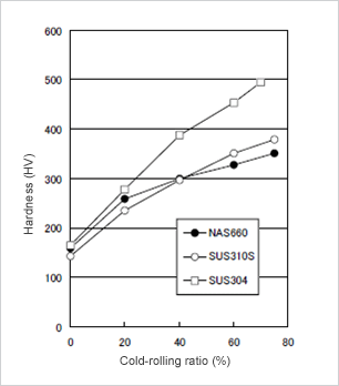
加工硬化特性
UNS S66286的加工硬化特性与S310S相同,可进行与S310S一样的冷加工。

时效硬化特性
下图为在各个温度条件下保持16hr时后的UNS S66286时效硬化程度。固溶热处理材料在700℃左右的温度下进行热处理,可获得很高的硬度,冷轧材料可以在在更低的温度条件下获得很高的硬度。

高温强度
高温短时间拉伸试验

耐腐蚀性
高于SUS 304(标准奥氏体不锈钢),在时效热处理后也保持不变。
用点蚀电位来评价耐点腐蚀性能
| 合金 | 处理 | 耐点腐蚀 |
|---|---|---|
| NAS 660 | 固溶热处理材料 | 0.37V |
| 时效热处理材料 | 0.38V | |
| SUS 304 | 固溶热处理材料 | 0.28V |
试验方法:5% NaCl at 30℃
热处理
UNS S66286为沉淀析出硬化合金,如在固溶处理后进行时效处理,可提高强度,发挥出其特性。一般进行如下所示的二级热处理。
-
固溶热处理 980℃,保持后油冷或水冷
-
时效硬化处理 720℃,保持16小时后空冷
固溶处理的冷却方法应采用油冷或水冷,薄板时也可进行空冷。
如果时效处理温度、保持时间等因素不够恰当时,有时无法获得目标强度,须加以注意。
原则上出货状态是以固溶热处理后的状态出厂。
焊接性
对于薄板,可在与奥氏体不锈钢相同条件下进行点焊、TIG焊接、MIG焊接以及手工电弧焊。
切削性
切削性略优于标准奥氏体不锈钢。切削时虽然可用高速钢工具,但应尽量使用超硬合金工具,须将推进速度调慢,加大切削深度。
用途
UNS S66286主要用于喷气飞机发动机、燃气涡轮以及涡轮增压器部件等有高温强度要求的用途。
